
- Tên dự án: Khu nhà ở xã hội tại phường Đồng Văn, tỉnh Ninh Bình.
- Vị trí: Phường Đồng Văn, tỉnh Ninh Bình.
- Chủ đầu tư: Tổng công ty Đầu tư & phát triển nhà và đô thị (HUD). Là doanh nghiệp Nhà nước trực thuộc Bộ Xây dựng được thành lập từ năm 1989, là đơn vị tiên phong trong phát triển các khu đô thị mới và nhà ở. Các dự án HUD triển khai trải dài trên khắp cả nước.
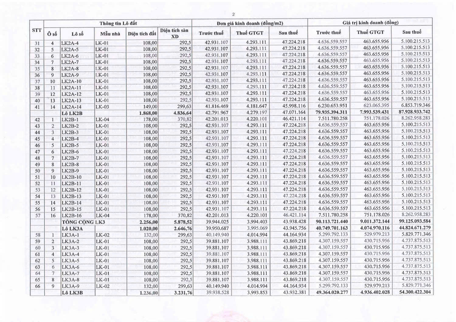
- Sản phẩm: Khu Liền Kề (thuộc Dự Án Khu Nhà Ở Xã Hội HUD Đồng Văn)
+ Diện tích khu liền kề rộng 8.729,0m², cao 4 tầng, khoảng 77 căn hộ.
+ Diện tích các căn liền : Từ 108 m² đến 178 m².
- Pháp lý:
+ Đã được UBND tỉnh Hà Nam (nay là tỉnh Ninh Bình) giao đất theo Quyết định số 499/QĐ-UBND ngày 18/4/2022 của UBND tỉnh Hà Nam (nay là tỉnh Ninh Bình).
+ Quyết định số 2226/QĐ-UBND ngày 24/12/2021 của UBND tỉnh Hà Nam (nay là tỉnh Ninh Bình) về việc chấp thuận Tổng công ty Đầu tư phát triển nhà và đô thị (HUD) thực hiện Dự án: Đầu tư xây dựng Khu nhà ở xã hội tại tại phường Đồng Văn, thị xã Duy Tiên, tỉnh Hà Nam (nay là phường Đồng Văn, tỉnh Ninh Bình).
- Tiện ích: Dự án dành trên 50% tổng diện tích cho hệ thống cảnh quan và dịch vụ tiện ích. Hạ tầng kỹ thuật đồng bộ, thiết kế hiện đại, tiện nghi, bể bơi, trường mầm non, công viên, khu tập thể thao ngoài trời, khu sinh hoạt cộng đồng, siêu thị…
- Tiến độ dự án:
+ Khởi công: Tháng 4/2022
+ Dự kiến kinh doanh: Từ quý IV/2025
- Giá bán dự kiến: 4,73 - 8,26 tỷ đồng/căn



* Tiến độ thanh toán:
- Đợt 1: Trong thời gian 05 ngày kể từ ngày ký Hợp đồng, khách hàng thanh toán 10% Giá trị Hợp đồng.
- Đợt 2: Kể từ ngày ký Hợp đồng đến ngày 10/12/2025, khách hàng thanh toán tiếp 20% Giá trị Hợp đồng.
- Đợt 3: Trong thời gian 150 ngày kể từ ngày ký hợp khách hàng thanh toán tiếp 20% Giá trị Hợp đồng.
- Đợt 4: Trong thời gian 240 ngày kể từ ngày ký hợp khách hàng thanh toán tiếp 20% Giá trị Hợp đồng.
- Đợt 5: Trong vòng 15 ngày kể từ ngày thông báo bàn giao Căn nhà, khách hàng thanh toán tiếp 25% Giá trị Hợp đồng, giá trị lũy kế đến 95% Giá trị Hợp đồng.
- Đợt 6: Trước khi nhận Giấy chứng nhận quyền sử dụng đất, quyền sở hữu nhà ở và tài sản khác gắn liền với đất, khách hàng thanh toán nốt 5% Giá trị Hợp đồng còn lại.

Tổng công ty Đầu tư phát triển nhà và đô thị (HUD) là doanh nghiệp Nhà nước trực thuộc Bộ Xây dựng với ngành nghề kinh doanh chủ yếu là đầu tư phát triển các khu đô thị mới và nhà ở, kinh doanh bất động sản. Thành lập từ năm 1989, trải qua hơn 30 năm xây dựng và phát triển, Tổng công ty Đầu tư phát triển nhà và đô thị với thương hiệu HUD đã đạt được những thành quả quan trọng và có những đóng góp đáng ghi nhận trong lĩnh vực phát triển đô thị và nhà ở, đồng hành với công cuộc đổi mới và phát triển của đất nước.
Tính đến nay, HUD đã và đang triển khai 25 khu đô thị mới tại nhiều tỉnh, thành phố trong cả nước, cung cấp hơn 8 triệu m2 sàn nhà ở, đáp ứng nhu cầu của hàng chục vạn hộ gia đình, trong đó có nhiều người dân có thu nhập trung bình và thấp, các đối tượng chính sách xã hội có khó khăn về nhà ở với tổng diện tích sàn nhà ở xã hội hoàn thành hơn 250.000m2.
HUD đang hoạt động theo mô hình công ty mẹ – công ty con với khối cơ quan Tổng công ty, 11 Ban quản lý dự án, 02 Chi nhánh và 15 đơn vị thành viên hạch toán độc lập, 02 công ty liên kết và 02 công ty liên doanh với tổng số hơn 2.000 cán bộ công nhân viên, người lao động, trong đó hơn một nửa có trình độ đại học và trên đại học.

Từ vị trí dự án HUD Đồng Văn, cư dân có thể dễ dàng di chuyển tới các khu vực như:
- Cách thành phố Phủ Lý chưa đầy 10 phút lái xe
- Thuận lợi di chuyển tới trung tâm Hà Nội nhờ tiếp giáp với trục đường quốc lộ 38
- Kết nối dễ dàng với các tỉnh lân cận: Nam Định cũ, Ninh Bình, Thái Bình cũ…
- Nằm ngay trục chính đường Lê Công Thanh rộng 68m kết nối với Phủ Lý và các bệnh viện lớn chỉ chưa đầy 5 phút-lái xe như Bệnh Viện Việt Đức cơ sở 2, Bệnh viện Bạch Mai cơ sở 2.
Dự án dành trên 50% tổng diện tích cho hệ thống cảnh quan và dịch vụ tiện ích.
Hạ tầng kỹ thuật đồng bộ, thiết kế hiện đại, tiện nghi, bể bơi, trường mầm non, công viên, khu tập thể thao ngoài trời, khu sinh hoạt cộng đồng, siêu thị…

Dự án liên quan
Bởi chuyên viên bất động sản có bề dày kinh nghiệm và uy tín của Đất Xanh Miền Bắc
sẵn sàng trợ giúp và cung cấp thông tin về dự án tới quý khách hàng.
Vui lòng liên hệ
Hotline Dự án: 0917 61 2020
Hotline Chăm sóc Khách hàng: 1800 6366 - 0919 75 3300
Chúng tôi sẽ liên hệ lại trong thời gian sớm nhất !
Chúng tôi sẽ liên hệ lại trong thời gian sớm nhất !